Предмет: Алгебра,
автор: alyaochkurova
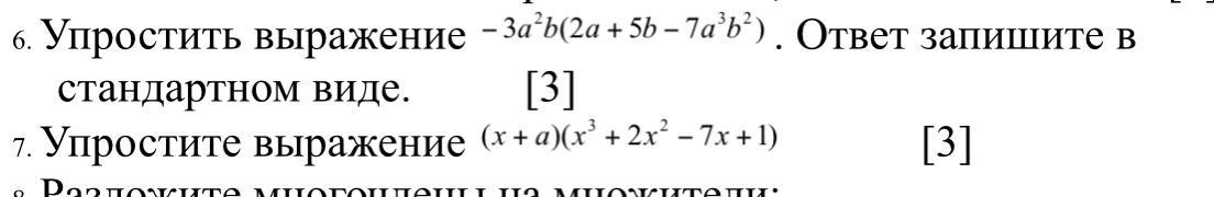
Помогите с 6 заданием
Пожалуйстааааа
Приложения:
Ответы
Автор ответа:
1
Ответ и решение на фото
Приложения:
Похожие вопросы
Предмет: Русский язык,
автор: Karina446
Предмет: Русский язык,
автор: зарамка
Предмет: Русский язык,
автор: шуба1
Предмет: Алгебра,
автор: makstenor