Предмет: Алгебра,
автор: magazmz938
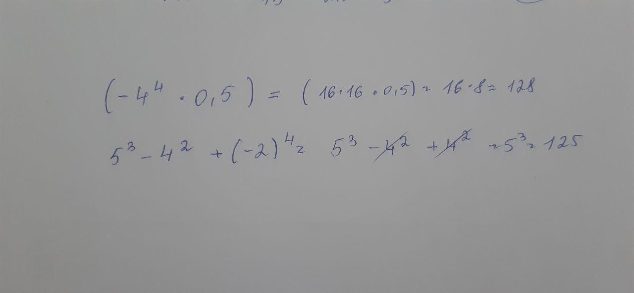
Знайдіть значення виразу
(-4⁴×0,5)=
5³-4²+(-2)⁴=
Ответы
Автор ответа:
0
Ответ:
Вот ответ там на фото внизу
Объяснение:
Приложения:
Похожие вопросы
Предмет: Русский язык,
автор: запаловаяна12345
Предмет: Английский язык,
автор: scnelkinaleksa
Предмет: Русский язык,
автор: рсво
Предмет: Русский язык,
автор: krut8
Предмет: Английский язык,
автор: Аноним