Предмет: Математика,
автор: vmvjvjv
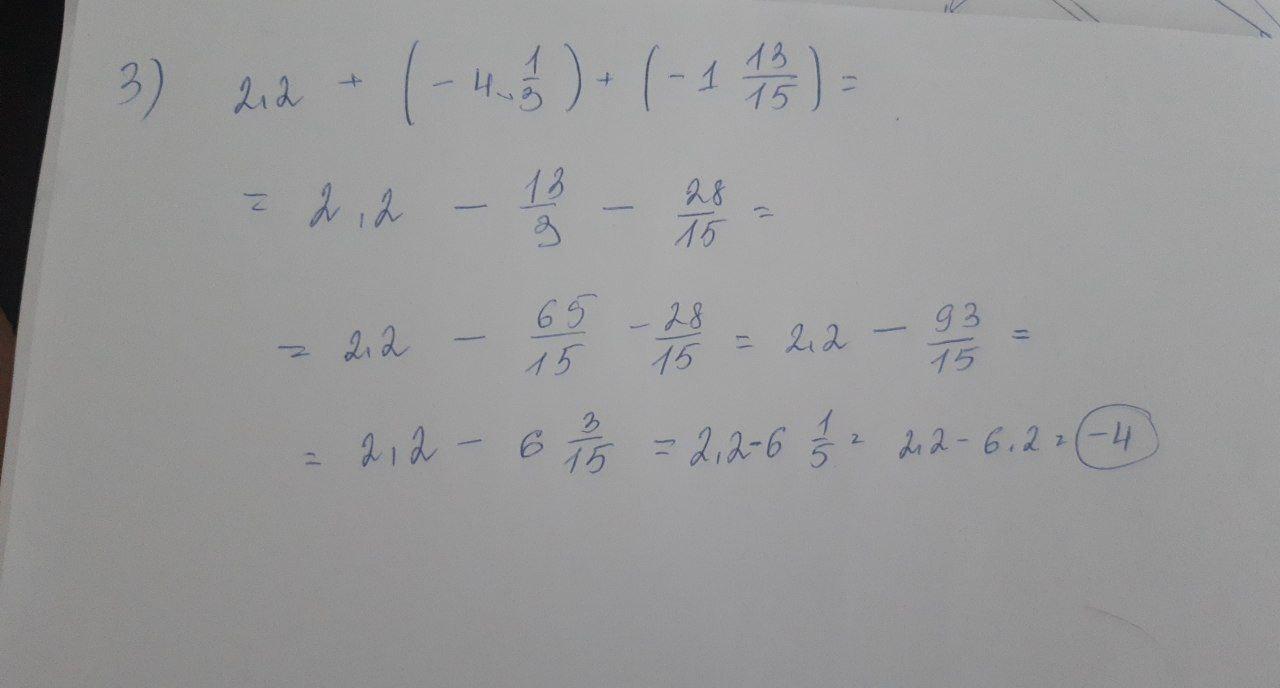
Плиз помогите с 3 если можете и 4, пожалуйста срочно 50 БАЛЛОВ!!!
Приложения:
Ответы
Автор ответа:
1
Ответ:
С 3м помогу, 4е ты обрезал, так бы помог)
Пошаговое объяснение:
Приложения:
Похожие вопросы
Предмет: Русский язык,
автор: катерина198
Предмет: Русский язык,
автор: mrRustamka
Предмет: Другие предметы,
автор: шахзода2
Предмет: Алгебра,
автор: Сашаsuper
Предмет: Математика,
автор: tahirsultanov