Предмет: Алгебра,
автор: mistertoken4
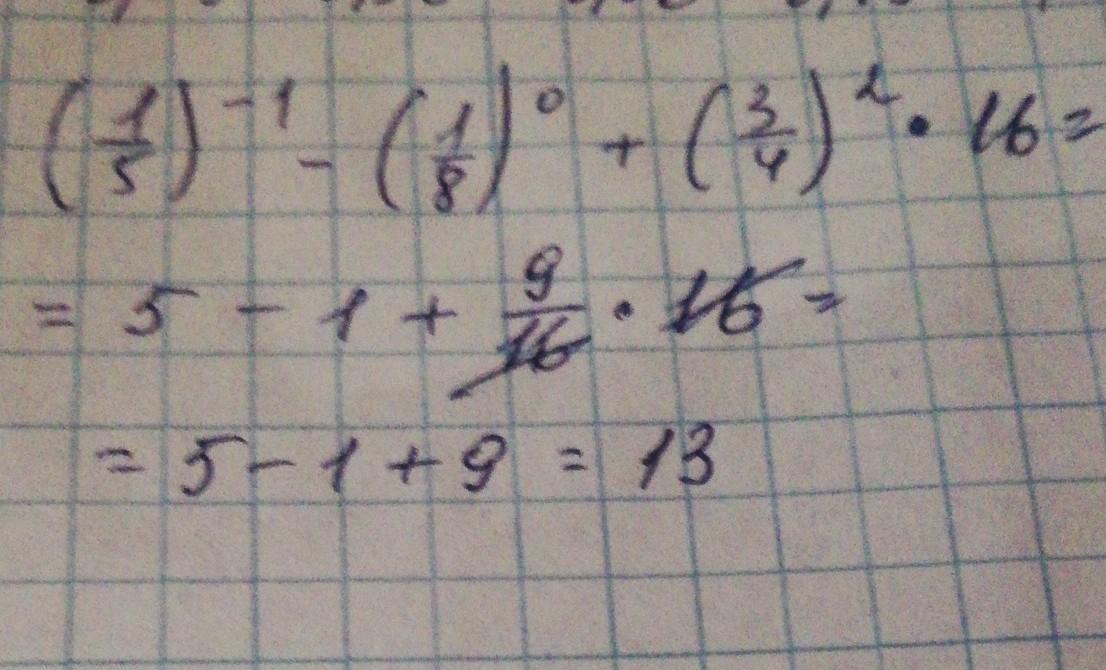
(1/5)-¹ -(1/8)⁰+(3/4)²×16
Приложения:
Ответы
Автор ответа:
2
Ответ:
Смотри решение на фото ниже
Приложения:
mistertoken4:
Спасибо большое, у нас соч
Похожие вопросы
Предмет: Окружающий мир,
автор: Stikmen1122
Предмет: Русский язык,
автор: shakhabudin01
Предмет: Русский язык,
автор: Аноним
Предмет: География,
автор: seny4kame