Предмет: Математика,
автор: andriy0390
Мне нужно с канонического уровнения прямой
получить такое как на картинке, помогите потому что я не понимаю.
Приложения:
niko151983:
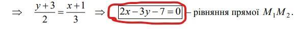
Чтобы получить уравнение прямой в общем виде, как на картинке, нужно решить пропорцию т.е. (у+3)*3=(х+1)*2
3у+9=2х+2 3у+9-2х-2=0
Ответы
Автор ответа:
1
Ответ:
Пошаговое объяснение:
Решение во вложении.
Приложения:
Похожие вопросы
Предмет: Другие предметы,
автор: Dovakinich
Предмет: Окружающий мир,
автор: АнастасияБаишева
Предмет: Українська мова,
автор: ася20071
Предмет: Химия,
автор: ilyas556p9swdm
Предмет: Алгебра,
автор: dimonsteam04