Предмет: Алгебра,
автор: shamray97
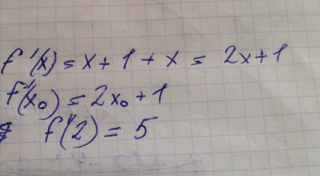
найдите производную функции f(x)=x*(x+1), вычислите её значение в точке х0, х0=2
Ответы
Автор ответа:
0
....................................................................
Приложения:
Похожие вопросы
Предмет: Математика,
автор: petrovgorod2017
Предмет: Русский язык,
автор: darinaelfimcheva24
Предмет: История,
автор: murlik2283
Предмет: Физика,
автор: Anutka987
Предмет: Литература,
автор: еркер