Предмет: Алгебра, автор: Miа16

Алгебра. Даю 25 баллов. С подробным решением.

Приложения:

Ответы

Автор ответа: Universalka
1

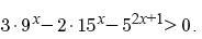
3\cdot9^{x} -2\cdot15^{x} -5^{2x+1} >0\\\\3\cdot9^{x} -2\cdot15^{x} -5^{2x} \cdot5^{1} >0\\\\3\cdot9^{x} -2\cdot15^{x} -5\cdot25^{x} >0 \ :25^{x} \\\\\dfrac{3\cdot9^{x} }{25^{x} } -\dfrac{2\cdot15^{x} }{25^{x} } -\dfrac{5\cdot25^{x} }{25^{x} } >0\\\\\\3\cdot\Big(\dfrac{3}{5} \Big)^{2x}-2\cdot\Big(\dfrac{3}{5} \Big)^{x} -5>0\\\\\\\Big(\dfrac{3}{5} \Big)^{x}=m \ , \ m>0\\\\3m^{2} -2m-5>0\\\\3\Big(m-1\dfrac{2}{3} \Big)\Big(m+1\Big)>0\\\\\Big(m-1\dfrac{2}{3} \Big)\Big(m+1\Big)>0

+ + + + + (-1) - - - - - (1  2/3) + + + + +

/////////////                          //////////////

1) \ m<-1- \ m\in \oslash\\\\2) \ m>1\dfrac{2}{3} \\\\m>\dfrac{5}{3} \\\\\Big(\dfrac{3}{5} \Big)^{x} >\dfrac{5}{3} \\\\\Big(\dfrac{3}{5} \Big)^{x} >\Big(\dfrac{3}{5} \Big)^{-1} \\\\x<-1\\\\Otvet:\boxed{x\in(-\infty \ ; \ -1)}

Похожие вопросы
Предмет: Биология, автор: werСrkck88