Предмет: Алгебра,
автор: pakarpovdm2
Можете сюда дать 100 уравнений для подготовки к ОГЭ (без решения)
Ответы
Автор ответа:
0
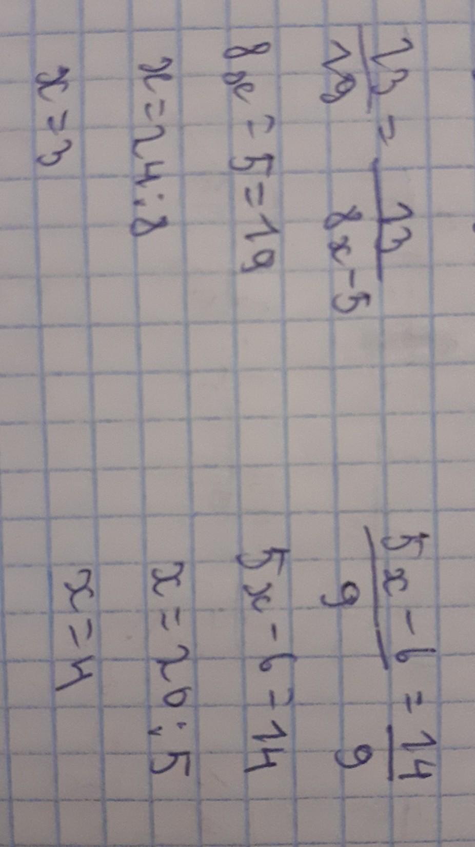
Вот это, надеюсь помогла вроде бы то просто думала за 9 или 10 класс
Приложения:
pakarpovdm2:
Что это?
уравнение
Я имел в виду уравнения по типу: x+12/45=12-x/3
Похожие вопросы
Предмет: Русский язык,
автор: pinkgirl1
Предмет: Другие предметы,
автор: знания42
Предмет: Английский язык,
автор: polinalyka
Предмет: История,
автор: CyXaRuК