Предмет: Математика,
автор: apliceskaa9
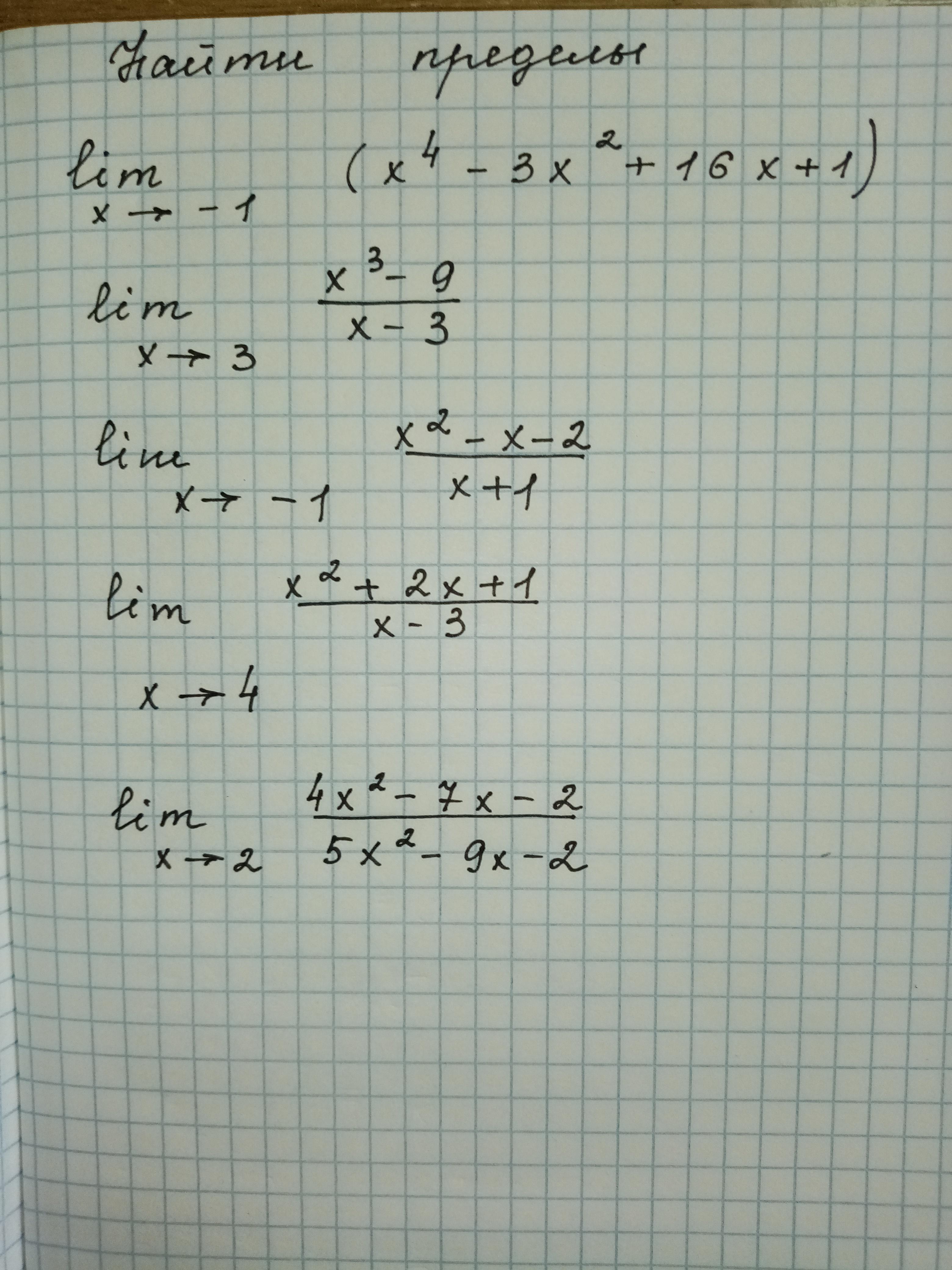
Решите пожалуйста приделы
Приложения:
Ответы
Автор ответа:
0
Пошаговое объяснение:
1) нет неопределенности
предел равен 1-3-16+1=-17
2) если нет опечатки, то предел числителя 27-9=16, знаменателя 0.
Предел не существует (равен бесконечности).
Если в числителе на самом деле х в квадрате, то предел (х-3)(х+3)/(х-3)=пределу (х+3) равен 6
3) числитель приводим к виду (х+1)(х-2). Отношение (х-2). Предел равен (-3)
4) Нет неопределенности.
Предел числителя 16+8+1=25
Знаменателя 4-3=1 Отношения : 25
5) числитель приводим к виду (х-2)*(4х+1)
знаменатель к виду (х-2)(5х+1)
Отношение (4х+1)/(5х+1) имеет предел 9/11. Это ответ.
apliceskaa9:
А можно пожалуй полное решение?
а чего по Вашему мнению не хватает? У Вас 5 примеров, на каждый ответ вполне исчерпывающий..
Похожие вопросы
Предмет: Русский язык,
автор: Аноним
Предмет: Русский язык,
автор: Агамир
Предмет: Технология,
автор: iblek1
Предмет: Информатика,
автор: nastia361
Предмет: Українська мова,
автор: 0Junko00