Предмет: Алгебра,
автор: cjcjcj45645
ПОМОГИТЕ СРОЧНО ДАЮ 50 БАЛЛОВ
Приложения:
Ответы
Автор ответа:
0
Ответ:
Объяснение:
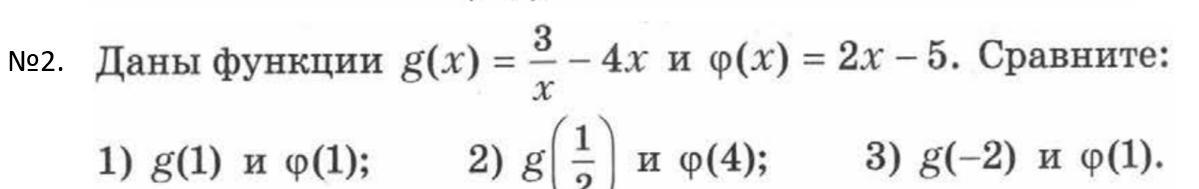
1) g(1)=3/1-4*1=-1, f(1)=2*1-5=-3 g(1)>f(1)
2) g(1/2)=3:1/2-4*1/2=6-8=-2, f(4)=2*4-5=3, g(1/2)<f(4)
3) g(-2)=3/2-4*2=-6,5, f(1)=-3, g(-2)<f(1)
Похожие вопросы
Предмет: Українська мова,
автор: Аноним
Предмет: Русский язык,
автор: Аноним
Предмет: Русский язык,
автор: artem2003s
Предмет: Алгебра,
автор: nekupen
Предмет: Английский язык,
автор: SweetLOL