Предмет: Алгебра,
автор: batyralibekovich
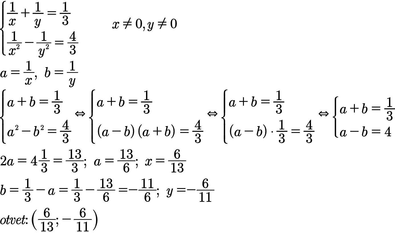
Решите систему уравнений
Сроооочнооо 30 баллов
Приложения:
Ответы
Автор ответа:
3
Ответ:
(6/13;-6/11)
Объяснение:
..............................
Приложения:
Похожие вопросы
Предмет: Русский язык,
автор: Angelina856789
Предмет: Технология,
автор: лена28250307
Предмет: Русский язык,
автор: Angelina856789
Предмет: Алгебра,
автор: 12aleksandra