Предмет: Алгебра,
автор: Kingaldik
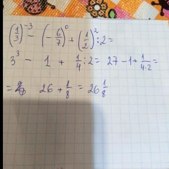
вычислите (1/3)^-3-(-6/7)+(1/2)^2:2
Ответы
Автор ответа:
0
Точный ответ будет: 26⅛
Приложения:
Похожие вопросы
Предмет: Русский язык,
автор: виолетта233
Предмет: Русский язык,
автор: мыслитель95
Предмет: Қазақ тiлi,
автор: Агент007771
Предмет: Литература,
автор: sofiafedorova