Предмет: Алгебра,
автор: valeron1648
Помогите пожалуйста( Срочно! 30 баллов.
Приложения:
Ответы
Автор ответа:
0
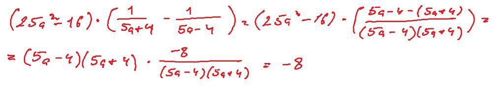
Ответ:
Фото
Объяснение:
Приложения:
Похожие вопросы
Предмет: Английский язык,
автор: kapralovmiha
Предмет: Английский язык,
автор: Paulina1128
Предмет: Окружающий мир,
автор: ора62
Предмет: Обществознание,
автор: blablablabla1231
Предмет: История,
автор: slimshady223