Предмет: Математика,
автор: Ati737
4*4/21
5/14*28
2 целых 2/15*1 целую 9/16
Ответы
Автор ответа:
0
Ответ:
первое 16/21 второе 140/28 третье 15/2
Автор ответа:
0
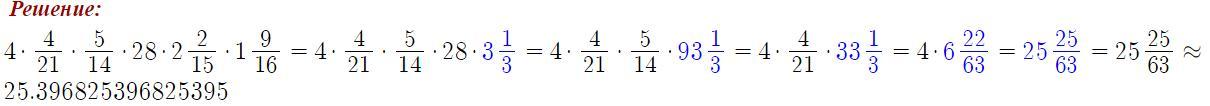
вот решение:
(в следующий раз пожалуйста можно попонятнее)
Приложения:
Похожие вопросы
Предмет: Русский язык,
автор: deniss12121
Предмет: Технология,
автор: gjc
Предмет: Окружающий мир,
автор: Pollyannak
Предмет: Информатика,
автор: Xiaolong
Предмет: Математика,
автор: Искорка001