Предмет: Математика, автор: blakrytsar

пожалуйста помогите дам 30 баллов математика

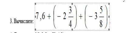
Приложения:

Ответы

Автор ответа: alexeylit
0

Ответ:

1\frac{39}{40}

Пошаговое объяснение:

7\frac{3}{5} -\frac{11}{4}-\frac{x}{y} -\frac{29}{8}  = \frac{38}{5} -\frac{22}{8} -\frac{29}{8} = \frac{38}{5} -\frac{51}{8} =\frac{304}{40} -\frac{225}{40} =\frac{79}{40}=1\frac{39}{40}

Похожие вопросы
Предмет: Қазақ тiлi, автор: дильназ42