Предмет: Математика,
автор: inwkie
30 БАЛЛОВ
ПОЖАЛУЙСТА ОЧЕНЬ НУЖНА ПОМОЩЬ
Приложения:
Ответы
Автор ответа:
2
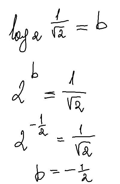
Ответ:
Пошаговое объяснение:
см.рис
Приложения:
Похожие вопросы
Предмет: Русский язык,
автор: pr1zrac
Предмет: Русский язык,
автор: нана73
Предмет: Английский язык,
автор: narenare
Предмет: Геометрия,
автор: ShkolyarVanya
Предмет: Химия,
автор: gkingok856