Предмет: Математика,
автор: Аноним
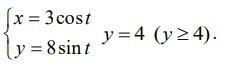
Вычислить площадь фигуры, ограниченной линиями.
Приложения:
Ответы
Автор ответа:
1
Ответ:
Resheno
Пошаговое объяснение:
Приложения:
Похожие вопросы
Предмет: Русский язык,
автор: lenaolya44
Предмет: Английский язык,
автор: ВикА0965
Предмет: Русский язык,
автор: Аргам2004
Предмет: Математика,
автор: Ьььннн
Предмет: История,
автор: arinadeshuk2529