Предмет: Физика,
автор: biggprod0
помогите пожалуйста! Желательно расписать ответ
Приложения:
Ответы
Автор ответа:
1
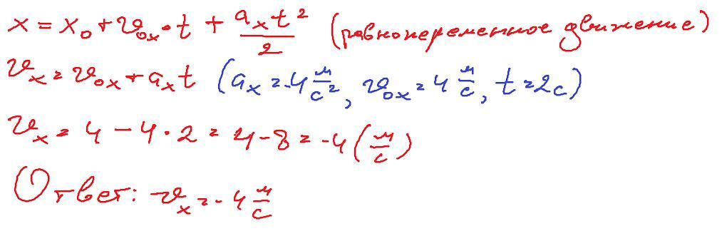
Ответ:
Фото
Объяснение:
Приложения:
Похожие вопросы
Предмет: Окружающий мир,
автор: Аноним
Предмет: Русский язык,
автор: mihail5
Предмет: Русский язык,
автор: ira42kem
Предмет: Математика,
автор: ПСК6
Предмет: Геометрия,
автор: vadimbrd