Предмет: Математика, автор: tiktokerstar6

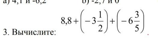
вычислите 8,8+(-3 1/2 )+(-6 3/5)

помогите пожалуйста ;​

Приложения:

Ответы

Автор ответа: shkolyar42
0

Ответ:

- 13/10..........

Приложения:

tiktokerstar6: надо по действиям было.
shkolyar42: указывать надо, что тебе нужно
shkolyar42: сейчас сделаю
shkolyar42: 2 минуты
shkolyar42: есть
Автор ответа: anhquanle05
1

Ответ:

-1,3

Пошаговое объяснение:

8,8 + (-3\frac{1}{2} ) + (-6\frac{3}{5} ) = 8,8 - \frac{7}{2} - \frac{33}{5} = \frac{88}{10} - \frac{35}{10} - \frac{66}{10} = \frac{88 - 35 - 66}{10} = -\frac{13}{10} = -1,3


tiktokerstar6: спасибо
Похожие вопросы
Предмет: Математика, автор: codgeass8p9glim