Предмет: Математика,
автор: zheca0pop
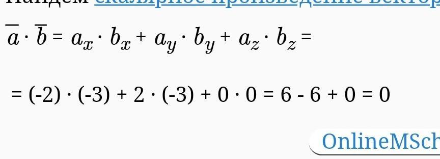
найдите скалярное произведение векторов а и б если а (-2; 2), б(- 3;-1)
Приложения:
Ответы
Автор ответа:
0
.........................
Приложения:
Похожие вопросы
Предмет: Английский язык,
автор: gyulnara80
Предмет: Русский язык,
автор: ViDeObLoGeR1
Предмет: Русский язык,
автор: оглы1
Предмет: Алгебра,
автор: ТГульбану
Предмет: Математика,
автор: worldoftanks0201