Предмет: Алгебра,
автор: Hsgsog
решите пж 30 баллов
Приложения:
Ответы
Автор ответа:
1
Ответ:
Объяснение:
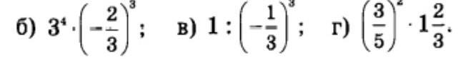
1) 3⁴*(-2³/3³)= -3⁴⁻³*2³= - 3*8= -24
2) 1:(-1/ 3)³= -1*3³= -27
3) (3/5)²*(3*1+2)/3=(3²/5²)*5/3 = 9/25 * 5/3= (9:3)/(25:5)= 3/5
Похожие вопросы
Предмет: Английский язык,
автор: Аноним
Предмет: Другие предметы,
автор: Аноним
Предмет: Українська мова,
автор: lussy2
Предмет: Русский язык,
автор: adamross98
Предмет: Английский язык,
автор: alicher1