Предмет: Алгебра,
автор: vlasovaaruna2001
Помогите пжлста плачу 20
Приложения:
Ответы
Автор ответа:
1
Ответ:
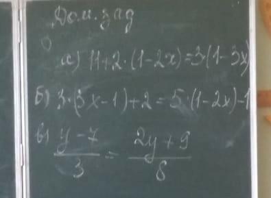
a)11+2-4x=3-9x
5x=3-11-2
5x=-10
x=-2
б)9х-3+2=5-10х-1
19х=5
х=0,26
vlasovaaruna2001:
б в можешь сделать?
могу
сделай пожалуйста
а В сделаешь?
Похожие вопросы
Предмет: Русский язык,
автор: егор521
Предмет: Другие предметы,
автор: ГОЛУБОГЛАЗКА20013
Предмет: Русский язык,
автор: muslima4
Предмет: Английский язык,
автор: likapp
Предмет: Литература,
автор: Levonochek