Предмет: Математика,
автор: darakolesova23
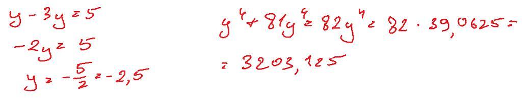
Действительное число y таково, что y−3y=5. Чему равно y4+81y4?
Ответы
Автор ответа:
1
Ответ:
Фото
Пошаговое объяснение:
Приложения:
vasilijavtomatov:
чел та 81 и y это дробь и 3 и у тоже
Похожие вопросы
Предмет: Окружающий мир,
автор: помогу20
Предмет: Английский язык,
автор: sakenasnastya
Предмет: Русский язык,
автор: снежинка555777
Предмет: История,
автор: Yanka5285