Предмет: Алгебра,
автор: enotka132
помогите срочно, дам 50 баллов
Приложения:
Ответы
Автор ответа:
1
Ответ:
Объяснение:
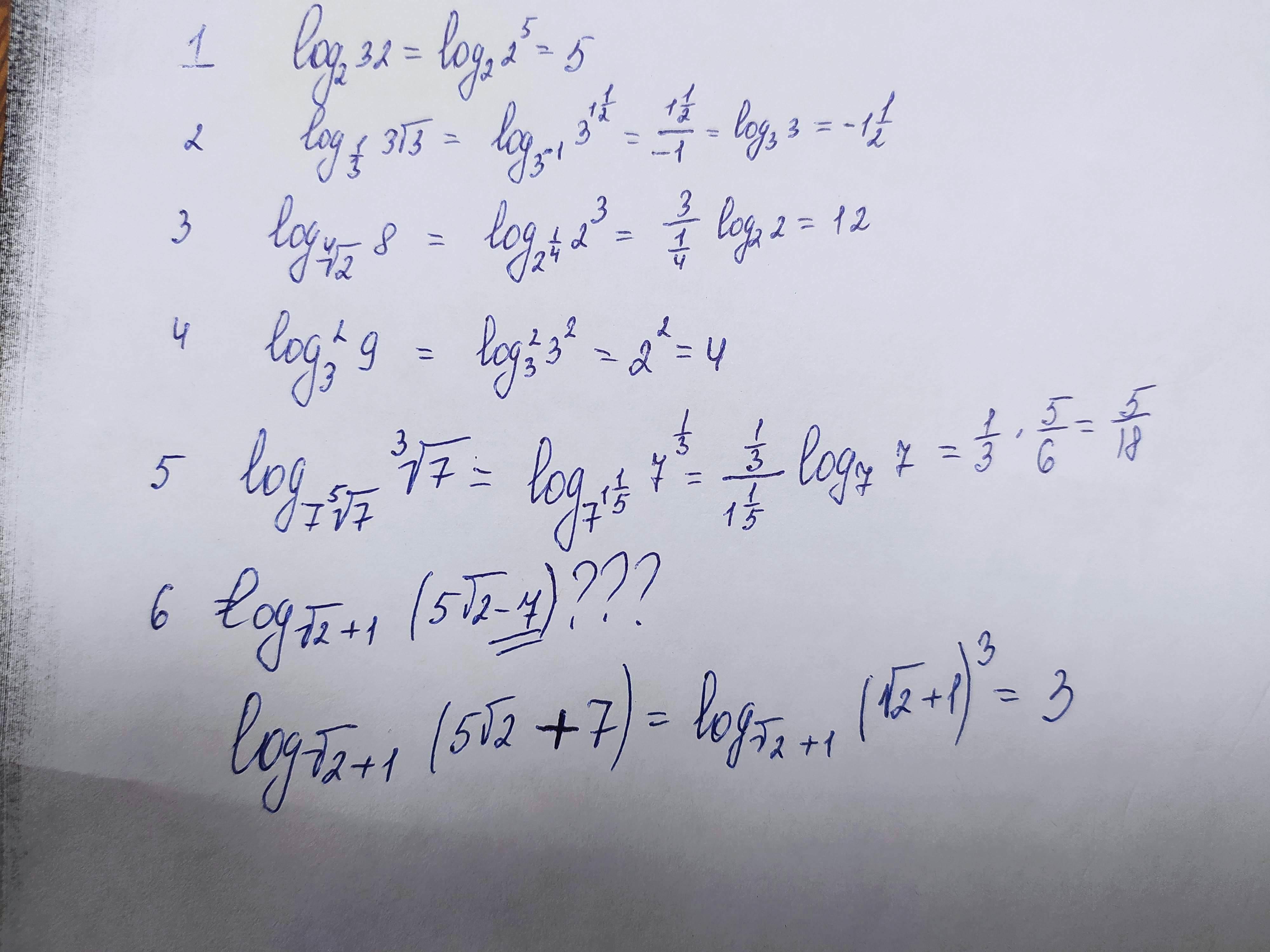
решение на фото
Приложения:
Похожие вопросы
Предмет: Русский язык,
автор: Аноним
Предмет: Английский язык,
автор: Аноним
Предмет: Українська мова,
автор: Wiwilowe
Предмет: Английский язык,
автор: dgshshdh
Предмет: Українська мова,
автор: dimalike545