Предмет: Алгебра, автор: viktoriabeskaeva21

4.
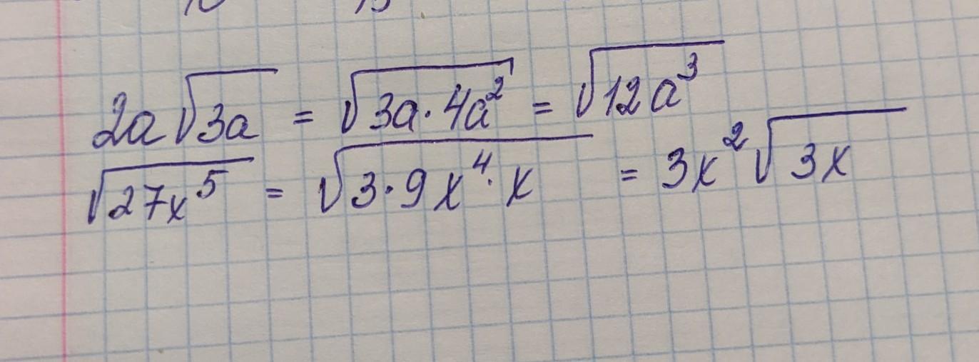
а. Внесите множитель под знак корня 2а√3а
б. Вынесите множитель из-под знака корня √27x⁵​

Приложения:

Ответы

Автор ответа: evgeniya1309
42

Объяснение:

думаю будет так.......

Приложения:

bAlOdYa: поставлю
bAlOdYa: 1 *
bAlOdYa: просто так
Автор ответа: Аноним
6

а) 2а*√(3а)=√((2а)²*3а)=√(4*3*а²*а)=√(12а³)

б) √(27*х⁵)=√(3²*3*(х²)²*х)=3*x²*√(3x).

Корень квадратный из х⁵ имеет смысл при х≥0.

Похожие вопросы
Предмет: Английский язык, автор: spatilova
Переведите на английский текст :
Несмотря на то, что науке известно уже порядка двух миллионов видов животных, постоянно открываются все новые виды, о существовании которых никто ранее не догадывался.
Причем относится это не только к моллюскам и насекомым, но и к млекопитающим. Открытия в 21 веке.
1. Курносые обезьяны, чихающие во время дождя. Эту обезьяну обнаружила группа швейцарского приматолога Томаса Гайссмана в 2010 году. Прибыв на север Мьянмы, ученые увидели курносую обезьяну, которая удивила их строением своего носа. Из-за того, что ее ноздри ничем не прикрыты, эта обезьяна чихает во время дождя, поэтому вынуждена прятать голову между колен во время непогоды.
2,Египетские волки, которых принимали за шакалов. Не секрет что на севере Африки обитают небольшие волки. Долгое время продолжались споры по поводу того, являются ли они действительно волками, или же представляют собой шакалов. Но в 2011 году экспертиза показала, что ближайшими родственниками этих животных являются волки. На сегодняшний день представителей этого вида насчитывается около нескольких десятков, но, к сожалению, закона по их охране так и не существует.
3. Мартышки с выразительным взглядом.
Обезьяна лесула была обнаружена в 2007 году в центральной части Демократической Республики Конго. Впервые биолог Джон Харт увидел ее дома у директора школы, который взял ее у одного из местных жителей. Из-за охотников этому редкому виду грозит вымирание, но на помощь со стороны государства в этом отношении рассчитывать пока не приходится.
4. Крысиные лемуры с запутанной классификацией. Ученые уверены, что классификация крысиных лемуров еще не доведена до конца. Последний признанный вид был обнаружен в 2001 году на юге Мадагаскара, но потребовалось более 10 лет, чтобы собрать полный материал и проанализировать его.
5.Дикие кошки, напоминающие миниатюрных ягуаров.В 2013 году был выделен подвид онцилл в отдельный вид. Благодаря экспертизе ДНК, проведенной Эдуардо Эйзириком, было доказано, что этот вид скрещивается не со своим подвидом, а с кошками Жоффруа, живущими по соседству.