Предмет: Математика,
автор: darisshhaa
Монеты бывают номиналов 50
копеек, 1
рубль, 2
рубля, 5
рублей, 10
рублей. В кошельке лежит несколько монет. Известно, что какие бы 26
монет ни вытащить из кошелька, среди них будет хотя бы одна рублевая, хотя бы одна пятирублевая и хотя бы одна десятирублевая. При каком наибольшем количестве монет в кошельке такое возможно?
Ответы
Автор ответа:
0
Ответ:
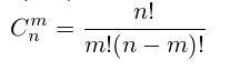
Это называется сочетанием - порядок не важен.
Для нас 1 2 5 это тоже самое что и 5 2 1.
Если бы это было важно, то это называлось бы размещением.
n = 4 (всего монет), m = 3 (хотим достать)
= 4-мя способами.
В этом случае варианты можно перебрать вручную, их всего 4:
1 2 5
1 2 10
2 5 10
1 5 10
Пошаговое объяснение:
Приложения:
polinka7011:
какой ответ?
Похожие вопросы
Предмет: Русский язык,
автор: Аноним
Предмет: Окружающий мир,
автор: jhhffd
Предмет: Русский язык,
автор: Аноним
Предмет: Литература,
автор: 230978
Предмет: Окружающий мир,
автор: lebedev1957