Предмет: Алгебра,
автор: meremomerova6
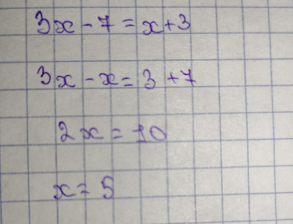
3х-7=х+3
сроооочно помогите прошу
Ответы
Автор ответа:
1
Автор ответа:
1
Ответ:
Ответ на фото
Объяснение:
Надеюсь, что все понятно
Приложения:
Похожие вопросы
Предмет: Русский язык,
автор: Аноним
Предмет: Окружающий мир,
автор: nikitaT1987
Предмет: Русский язык,
автор: yna4
Предмет: Физика,
автор: missvaluikova
Предмет: Английский язык,
автор: 202anna202