Предмет: Математика, автор: 0obeme1aligator2

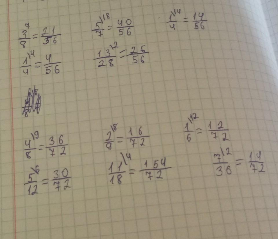
361. Приведите обыкновенные дроби: 1 1 3 5 1) 8 000 13 28 к обыкновенной дроби со знаменателем 56; 4 14 4. 2 1 7 2) 5 11 12'18 100 к обыкновенной дроби со знаменателем 72. 8. 9 6 36

помооогиитеее срочнооо
Даю 25 балов только правильно решите​

Приложения:

Ответы

Автор ответа: shakhinaulugbekovna
11

Ответ:

Пошаговое объяснение:

Приложения:

shakhinaulugbekovna: можно лучший ответ
kainysh2711: там есть 2)
kainysh2711: посмотри внимательно
kainysh2711: спасибо!
galymbekovrasul: спасиба
galymbekovrasul: лайк паставил
shirinka2008: там первый вроде не так написано
shirinka2008: а нет так
dasha7973: в первом ряду последняя на конце не 56 а 36
shakhinaulugbekovna: Всё правильно!!
Похожие вопросы
Предмет: Қазақ тiлi, автор: igortyan
Предмет: Қазақ тiлi, автор: абв2004
Предмет: Математика, автор: 01YZBEK01