Предмет: Алгебра,
автор: Аноним
Помогите, пожалуйста!
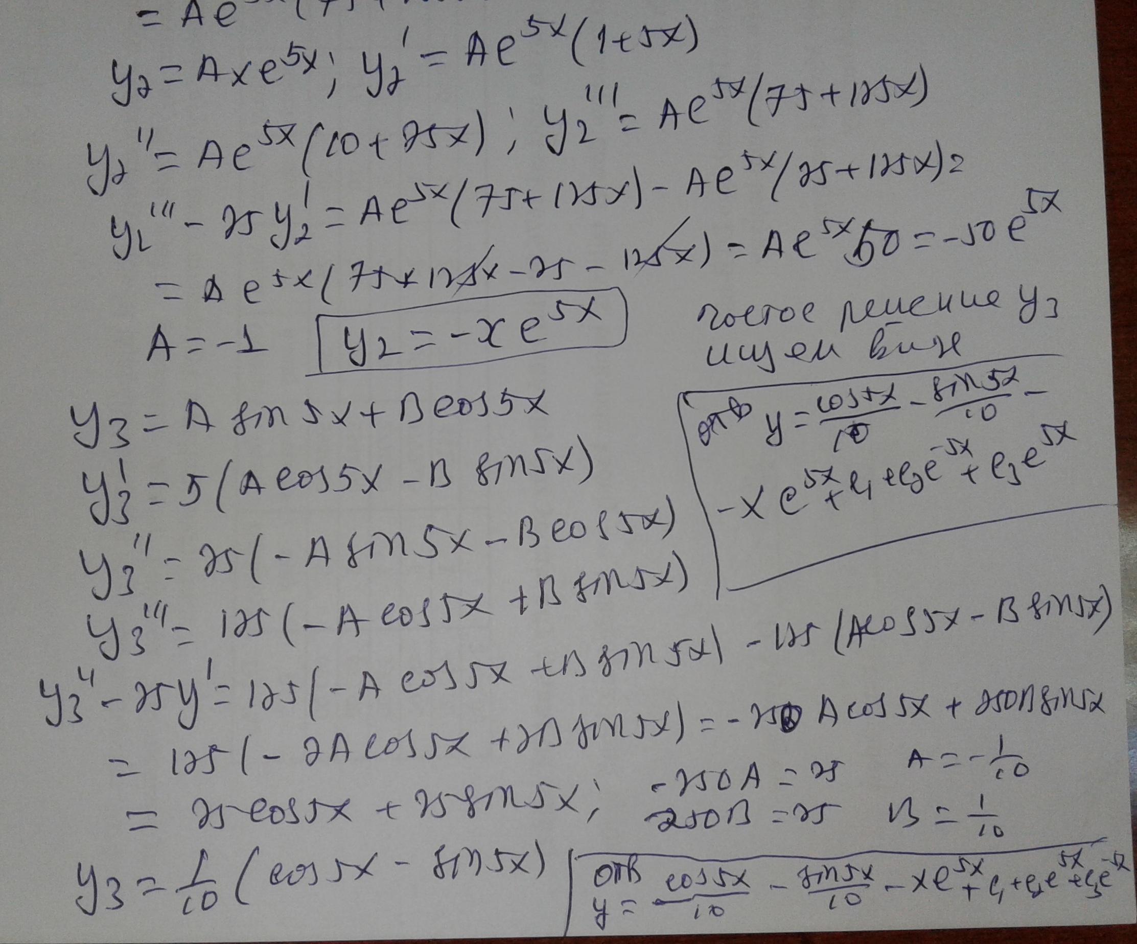
Найти общее решение дифференциального уравнения.
Приложения:
Ответы
Автор ответа:
1
Ответ:
Решено
Объяснение:
Приложения:
Похожие вопросы
Предмет: Русский язык,
автор: сипсон
Предмет: Қазақ тiлi,
автор: zulkarnieieva85
Предмет: Окружающий мир,
автор: кирюха78
Предмет: География,
автор: ibolatova
Предмет: Биология,
автор: kiruavaunberge