Предмет: Алгебра,
автор: mihasuyldin
Лёгкие 220б
У меня в профиле ещё 2 таких же вопроса по 100 баллов
Приложения:
Ответы
Автор ответа:
0
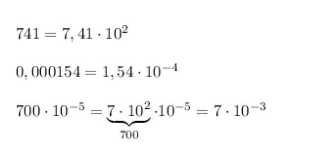
ответ:
—————————————-
—————————————-
Приложения:
Похожие вопросы
Предмет: Русский язык,
автор: 55555178
Предмет: Українська мова,
автор: martamrnv
Предмет: Английский язык,
автор: Alenka1322
Предмет: Русский язык,
автор: semendd
Предмет: Обществознание,
автор: царьрюрик