Предмет: Алгебра,
автор: anishin2020
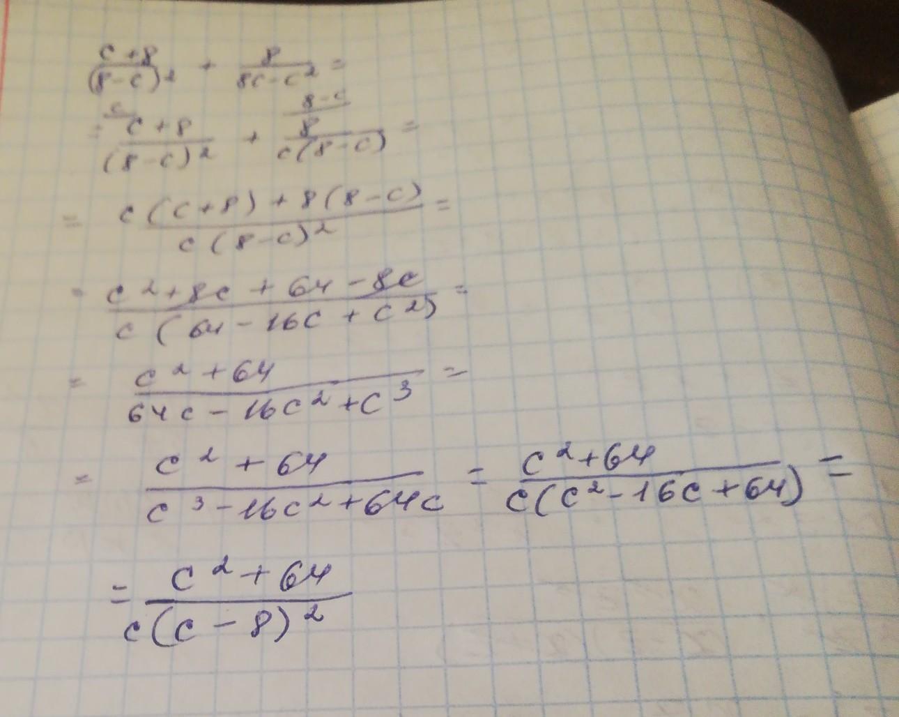
Выполни сложение алгебраических дробей
Приложения:
Ответы
Автор ответа:
0
Ответ:
Смотри решение на фото ниже
Приложения:
milana48588:
Ну ты алгебру же знаешь реши пжалуста!?
ПОМОГИ ПОЖАЛУЙСТА
МНе
Пожалуста
Пж
❗❗
здравствуйте можете ли вы мне помочь с алгеброй
пожалуйста
это алгебра
я просто хз как разложить такое пример на множители
Похожие вопросы
Предмет: Українська мова,
автор: ludmylaholovko2
Предмет: Английский язык,
автор: JULDE
Предмет: Русский язык,
автор: zagurskiymedved
Предмет: Математика,
автор: леса3
Предмет: Русский язык,
автор: Лера1111111151