Предмет: Алгебра,
автор: tedik707
тема одночлены.многочлены
Действие с многочленами
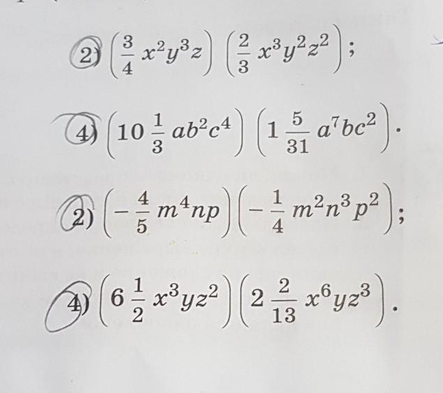
Приложения:
Ответы
Автор ответа:
0
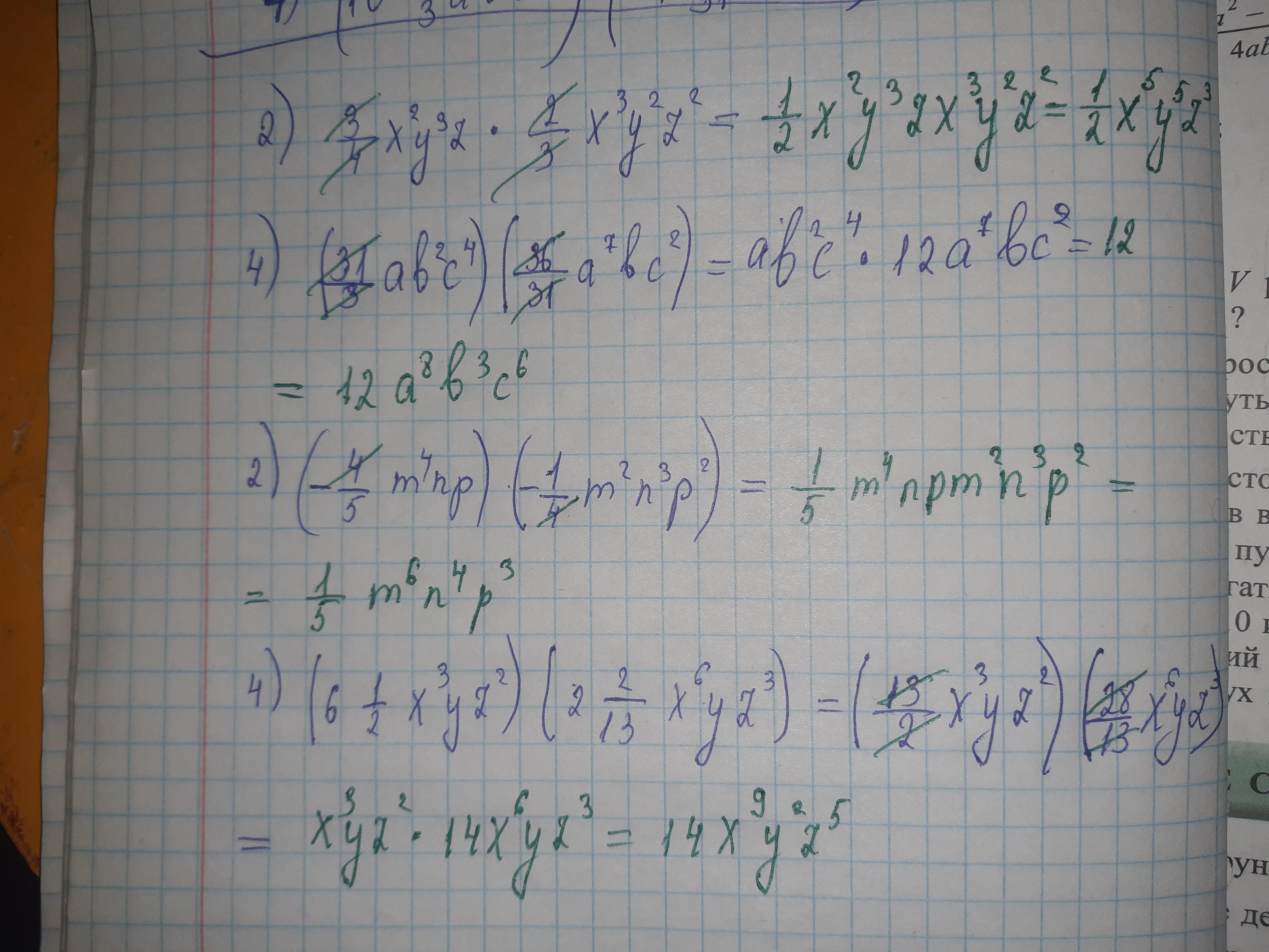
Ответ:
Вот
Только в четвёртом сразу написала неправильную дробь
Приложения:
Похожие вопросы
Предмет: Русский язык,
автор: RayMLG
Предмет: Окружающий мир,
автор: бябя1
Предмет: Русский язык,
автор: Аноним
Предмет: Математика,
автор: Аноним
Предмет: Математика,
автор: enesi