Предмет: Алгебра,
автор: milanaponomareva8016
помогите пожалуйста срочно нужно.((((
Приложения:
Ответы
Автор ответа:
1
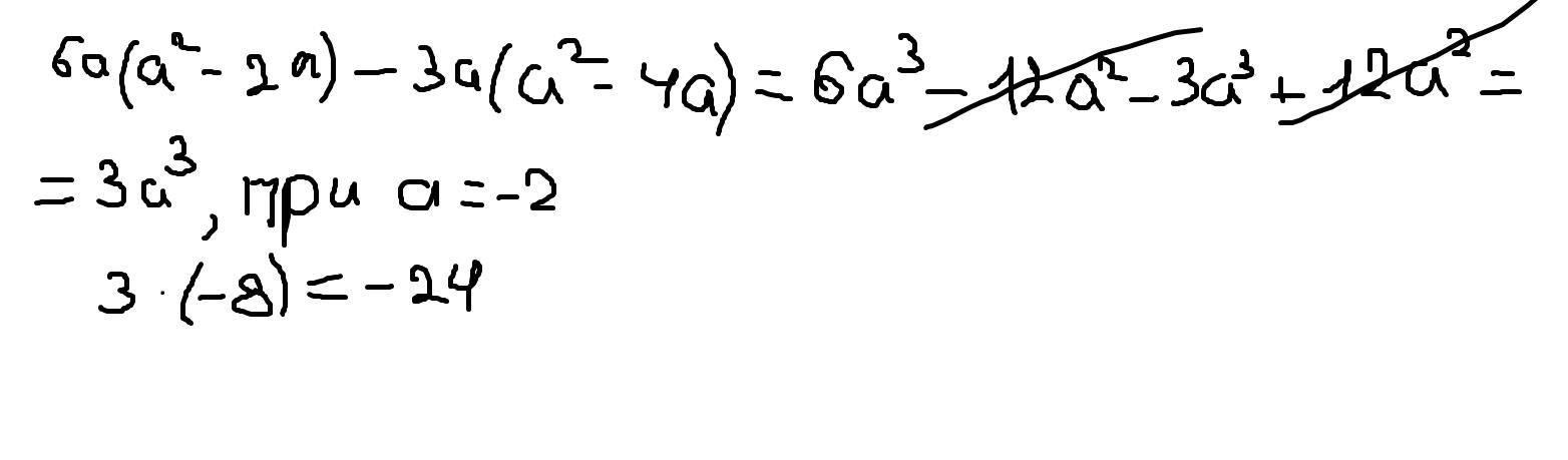
Ответ:
-24
Объяснение:
Приложения:
SpartanD:
отметь, как лучшее, пожалуйста
Похожие вопросы
Предмет: Окружающий мир,
автор: madamkruglowa2
Предмет: Литература,
автор: Мандаринка237
Предмет: Информатика,
автор: champion9999
Предмет: Алгебра,
автор: zaseking