Предмет: Алгебра,
автор: artemhmyrov59
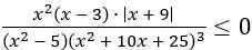
Решите неравенства, пользуясь методом интервалов:
Приложения:
Ответы
Автор ответа:
2
Ответ:
Объяснение:
!!!!!!!!!!!!!!!!!!!!!!!
Приложения:
Похожие вопросы
Предмет: Математика,
автор: judy124
Предмет: Русский язык,
автор: cdggd
Предмет: Окружающий мир,
автор: apopovic350
Предмет: Информатика,
автор: Vladerik16
Предмет: Алгебра,
автор: Aliev666