Предмет: Алгебра, автор: Аноним

СРОЧНО ОЧЕНЬ ПОЖАЛУЙСТА ДАЮ ВСЕ ЧТО МОГУ НО Я ОЧЕНЬ ТУПОЙ МНЕ НУЖНО ОБЪЯСНЯТЬ КАК МЛАДЕНЦУ ИНАЧЕ НЕ ПОЙМУ

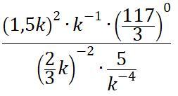
Задано значение k=0,000005 и алгебраическое выражение: (прикрепленный файл)

б) упростите алгебраическое выражение (18 баллов);

в) вычислите значение выражения при заданном значении k (6 баллов).

Приложения:

Ответы

Автор ответа: val0v1
2

Ответ:

40000

Объяснение:

Любое число со степенью 0 = 1

Отрицательная степень в одночлене переносит выражение из числителя в знаменатель и наоборот, оставляя модуль коэффициента степени, итак, решение в картинке

Приложения:

val0v1: ^У меня есть подозрения, что я ошибку где-то допустил, сейчас проверю
val0v1: Изменил, сейчас верный ответ
Автор ответа: sangers1959
1

Объяснение:

\frac{(1,5k)^2*k^{-1}*(\frac{117}{3})^0 }{(\frac{2}{3}k)^{-2}*\frac{5}{k^{-4}}  } =\frac{(1,5)^2*k^2*1*k^{-4}}{k^1*(\frac{2}{3})^{-2}*k^{-2}*5 } =\frac{(\frac{3}{2})^2 }{k*(\frac{3}{2})^2*5 }=\frac{1}{5k } .\\\frac{1}{5*0,000005}=\frac{1}{5*5*10^{-6}} =\frac{10^{6}}{25}=\frac{100}{25} *10^{4}=4*10^4=40000.

Похожие вопросы
Предмет: Математика, автор: тротроблин