Предмет: Математика, автор: tagirniazov80

почему этот пример решаеться именно так.Не понимаю то что выделено в кругу​

Приложения:

SpartanD: Да, очень сложно, какой класс?
tagirniazov80: 9 клас

Ответы

Автор ответа: lidiasaraa3
1

Ответ:

Пошаговое объяснение:

.

Приложения:

tagirniazov80: это4/3-3/3
tagirniazov80: поэтому 1/3
lidiasaraa3: УРА!!!!!!!!!
tagirniazov80: хахахахахахахахахах
tagirniazov80: но при приэтом хоть ори и отнимаються стмень а остаються
tagirniazov80: я правильно же тебя понял
tagirniazov80: *но приэтом хоть они и отнимаются степень а остаëться
lidiasaraa3: да
tagirniazov80: Спсибо тебе большое тя самый настояший друг
lidiasaraa3: :)
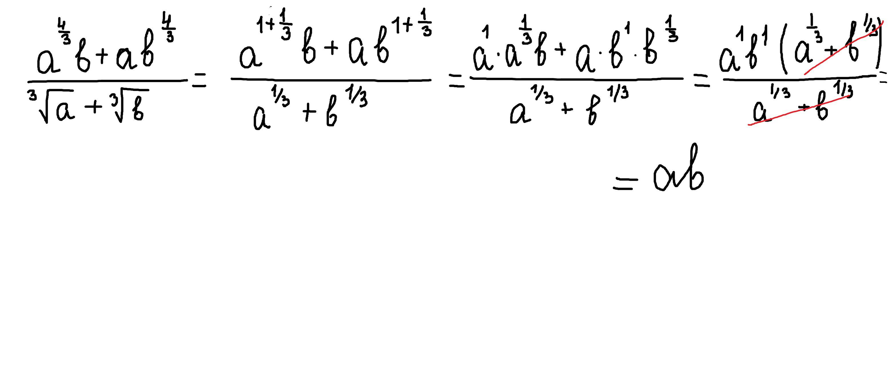
Автор ответа: parus77
1

Ответ:

Пошаговое объяснение:

расписала более подробно

4\3= 1 1\3= 1 + 1\3

при умножении степеней показатели складываются.

а потом общий множитель выносим за скобки

Приложения:

tagirniazov80: спасибо но всë ровно не понятно
parus77: что именно не понятно?
Похожие вопросы