Предмет: Математика,
автор: Stassj38
Нужно ПОДРОБНО РАСПИСАННОЕ решение Иррационального уравнения.
Приложения:
Ответы
Автор ответа:
0
Пошаговое объяснение:
оба части возврдим в квадрат,избавляясь от иррациональности:
2х+3=(6-х)²
2х+3=36-12х+х²
х²-14х+33=0
д=√14²-4×33=8
14±8
х-1,2=———=11;3
2
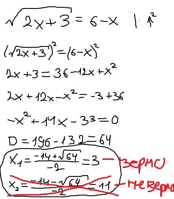
Автор ответа:
1
Ответ:
смотри рисунок ниже:
Пошаговое объяснение:
Приложения:
Похожие вопросы
Предмет: Русский язык,
автор: Cake501
Предмет: Обществознание,
автор: katyasinitsina
Предмет: Русский язык,
автор: 0Dandy0
Предмет: Математика,
автор: anghesik