Предмет: Математика,
автор: ZayacZnaniy
Помогите плиззз!!!((((Срочно надо за 30 мин сделать..(к.р. сегодня!(
Приложения:
Ответы
Автор ответа:
0
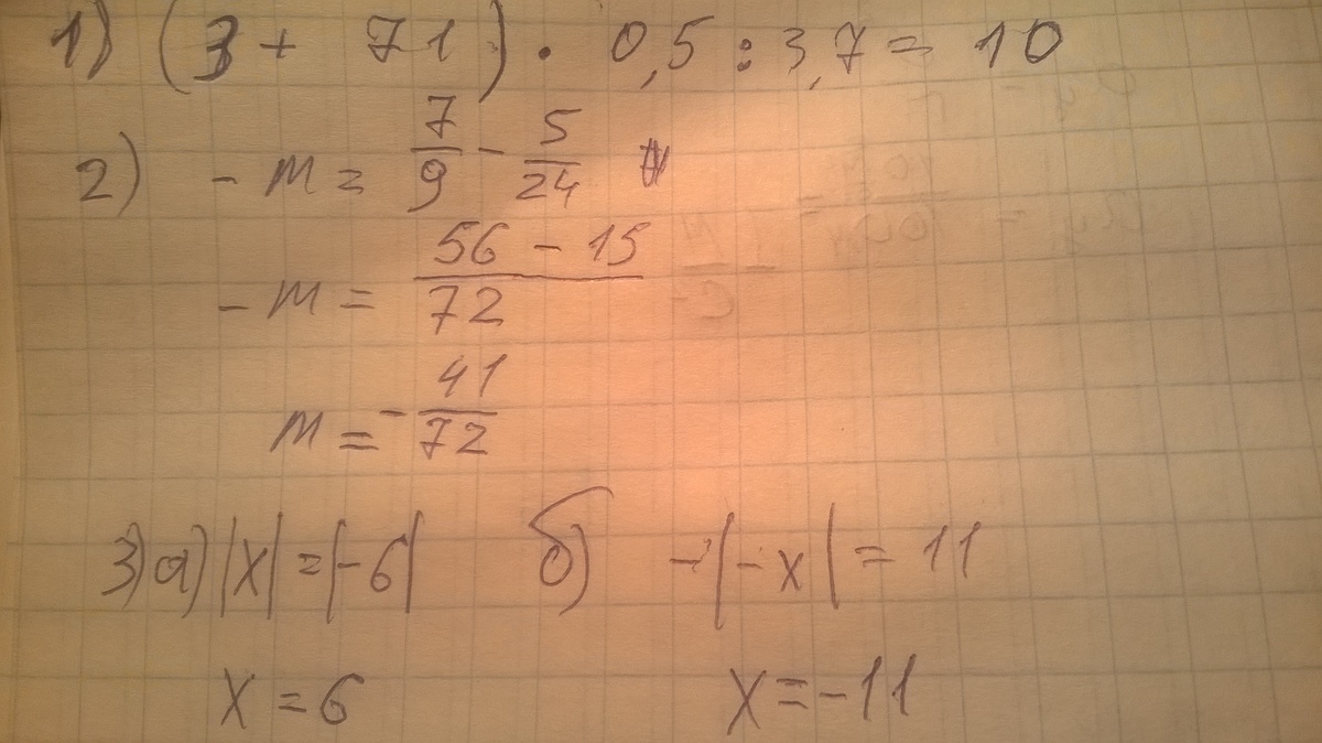
Вот решение,если что не понятно, то пишите.
Приложения:
Похожие вопросы
Предмет: Английский язык,
автор: bezpoleznui
Предмет: Литература,
автор: ssanzar916
Предмет: Математика,
автор: vasiliyvivhcarenko
Предмет: Алгебра,
автор: rvoskanyan
Предмет: Биология,
автор: magesso