Предмет: Алгебра,
автор: Аноним
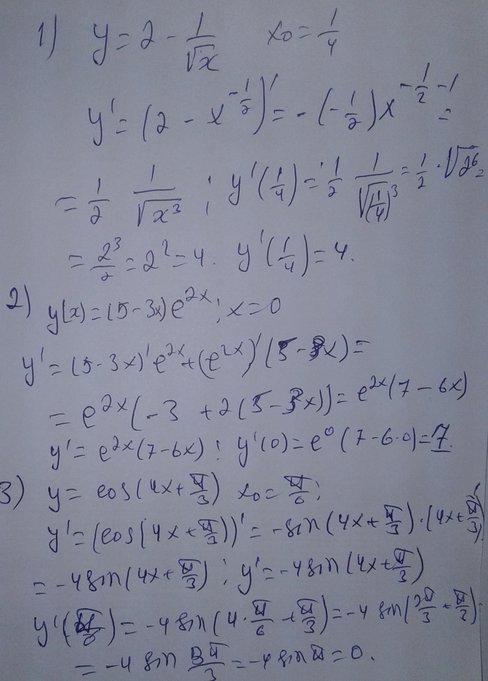
СРОЧНО. АЛГЕБРА 11 КЛАСС. ТЕМА ПРОИЗВОДНАЯ. РЕШИТЕ ВСЕ 3 ПРИМЕРА! ПОЖАЛУЙСТА
Приложения:
Ответы
Автор ответа:
0
Ответ:Решено
Объяснение:
Приложения:
yulyaivanchenko65:
Доброго времени суток,не могли бы вы помочь с Алгеброй если вам не трудно конечно,https://znanija.com/task/45946380,заранее благодарю за помощь.
Похожие вопросы
Предмет: Математика,
автор: Аноним
Предмет: Английский язык,
автор: sasa50
Предмет: Литература,
автор: дммтрий1
Предмет: Математика,
автор: Neskazy729
Предмет: Алгебра,
автор: temakun