Предмет: Математика,
автор: safonovasnihzana
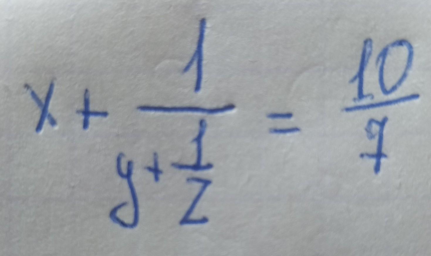
1. розв'яжіть рівняння
Приложения:
Ответы
Автор ответа:
1
Ответ:
X =1
Y = 2
Z = 3
Пошаговое объяснение:
Представь дробь 10/7 как 1 + 3/7. Отсюда следует , что x = 1, а 1/(y + 1/z) = 3/7
1/(y +1/z)= z/(yz +1) = 3/7
Отсюда следует, что Z =3, а yz + 1 = 7
3Y + 1 = 7 ==> y = 2
BIIIDLO:
Отметь как лучший ответ, пожалуйста
пожалуйста
отметь как лучший
Похожие вопросы
Предмет: Русский язык,
автор: vaaasd123
Предмет: Английский язык,
автор: ВырковРоманАлекс
Предмет: Английский язык,
автор: вика23454
Предмет: Английский язык,
автор: Ramazan05950595