Предмет: Алгебра,
автор: nicekate1999
Помогите срочно надо!!
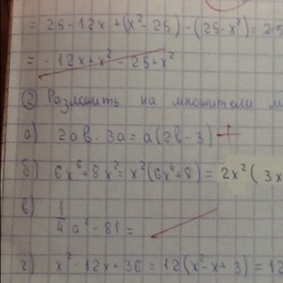
1. Разложить на множители многочлен:
Которые 2 снизу
2. Представить в виде произведения выражение: (х+0.2)у-2,7(х+0,2)
Приложения:
Ответы
Автор ответа:
0
1.
(1/2*а-9)*(1/2*а+9)
2.
(х+0.2)*(у-2.7)
(1/2*а-9)*(1/2*а+9)
2.
(х+0.2)*(у-2.7)
Похожие вопросы
Предмет: Химия,
автор: Roptick
Предмет: Физика,
автор: hliks
Предмет: Математика,
автор: Аноним
Предмет: Алгебра,
автор: helggaa