Предмет: Математика,
автор: gshdudxujxuxd
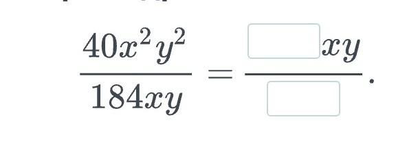
Сократи дробь
Помогите подалуйста
Приложения:
Ответы
Автор ответа:
0
Автор ответа:
0
Ответ:
5ху/23
Пошаговое объяснение:
сократила на 8...........
Похожие вопросы
Предмет: Математика,
автор: Аноним
Предмет: Окружающий мир,
автор: Аноним
Предмет: Математика,
автор: Bang666
Предмет: Русский язык,
автор: маша1234513
Предмет: Русский язык,
автор: Xanumanqel