Предмет: Математика,
автор: Parus6
Помогите с решением подробно пожалуйста..
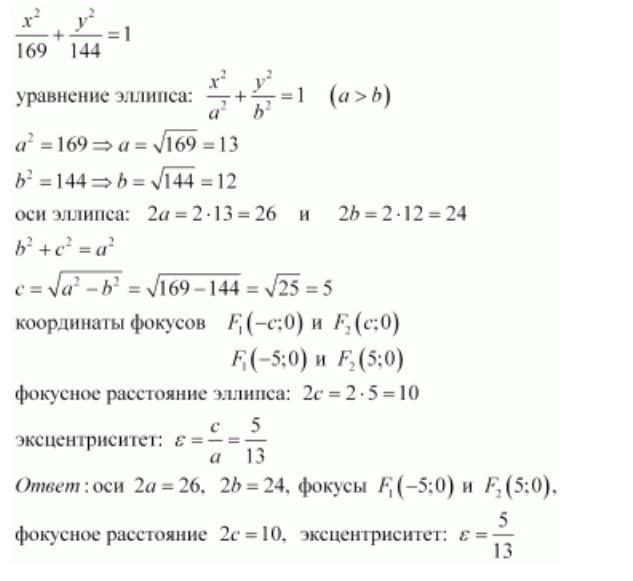
Найти координаты вершин, фокусов,
длины осей и эксцентриситет эллипса
x^2/25 + y^2/9 = 1
Ответы
Автор ответа:
3
Ответ:
точно ли этот ответ ,не знаю, нашла так же сама
Приложения:
Похожие вопросы
Предмет: Окружающий мир,
автор: Аноним
Предмет: Русский язык,
автор: ppm8
Предмет: Беларуская мова,
автор: igorsakovich6
Предмет: Литература,
автор: Cat627273