Предмет: Алгебра,
автор: seredina07
Помогите пожалуйста решить
Приложения:
NNNLLL54:
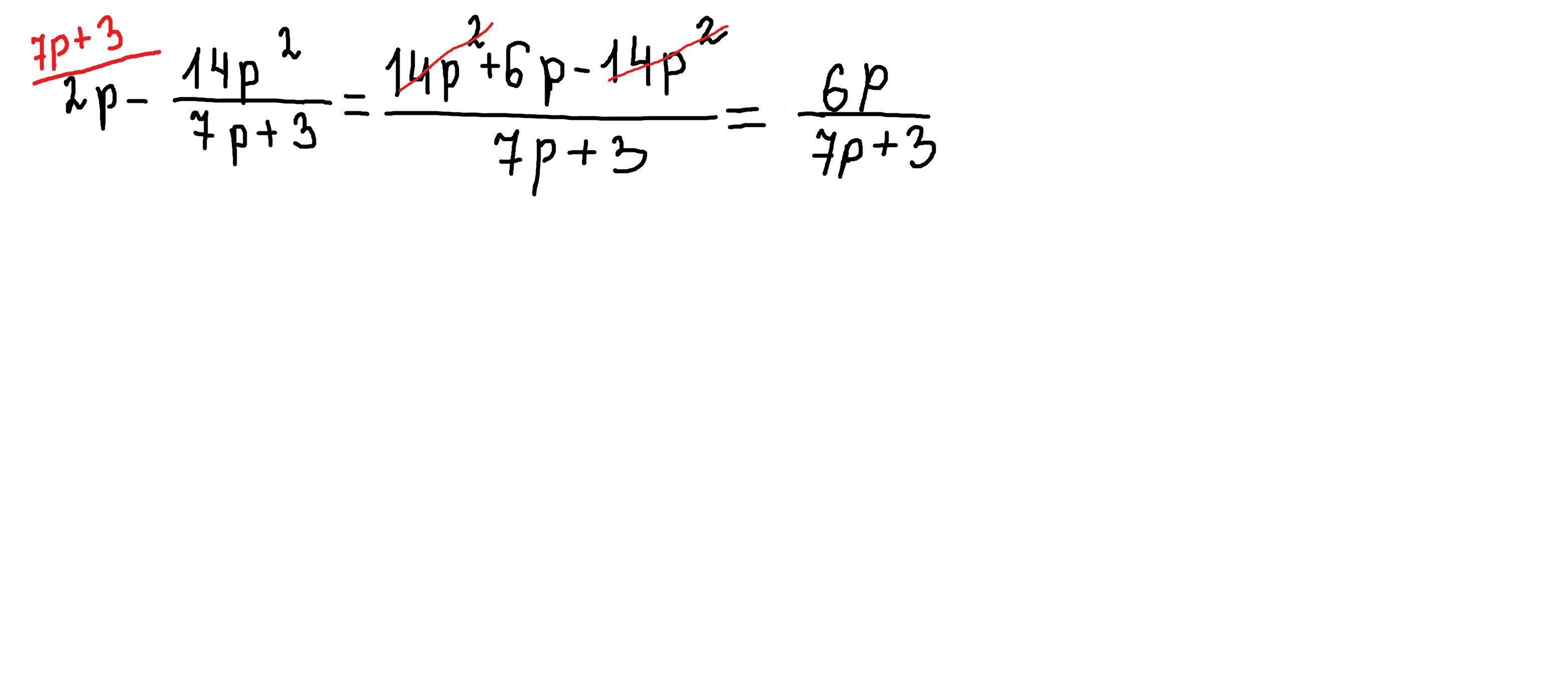
...=6p/(7p+3)
Ответы
Автор ответа:
0
Ответ:
Объяснение:
РЕШЕНИЕ ВНИЗУ
Приложения:
Похожие вопросы
Предмет: Русский язык,
автор: Ma2004
Предмет: Русский язык,
автор: Елканонетвоя
Предмет: Русский язык,
автор: котя64
Предмет: Физика,
автор: nastyaanisimova6
Предмет: Геометрия,
автор: veranda8