Предмет: Алгебра,
автор: zimzim0372
помогите срочно пожалуйста я вас умоляю. мин 40 уже сижу
Приложения:
Ответы
Автор ответа:
2
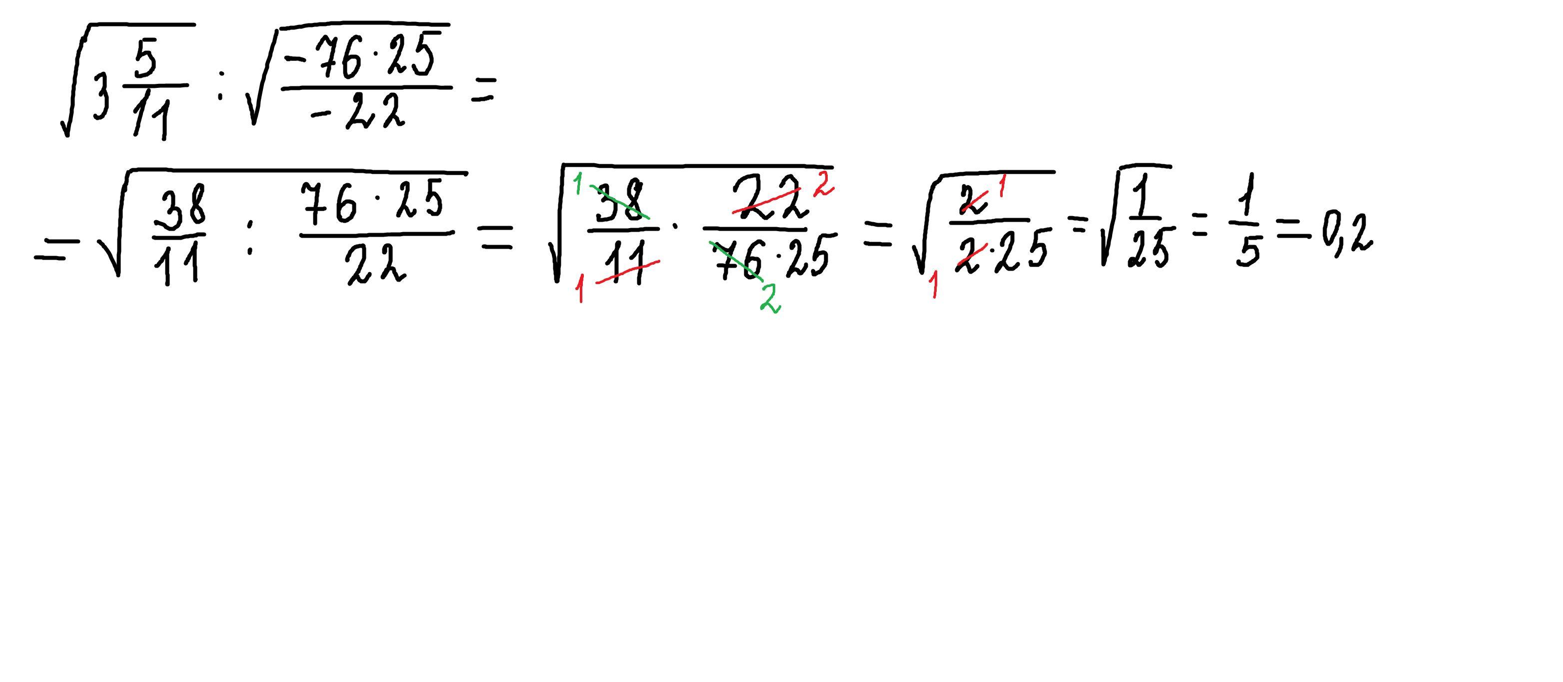
Ответ:
0,2
Объяснение: минус на минус при делении дает плюс
пользуемся св-вом квадратного корня
Приложения:
Похожие вопросы
Предмет: Английский язык,
автор: joncena1
Предмет: Английский язык,
автор: karolina77377
Предмет: Английский язык,
автор: kirill063
Предмет: Алгебра,
автор: zubczov12
Предмет: Алгебра,
автор: loloshkamit