Предмет: Информатика,
автор: Аноним
Помогите пожалуйста!!!
Приложения:
Ответы
Автор ответа:
0
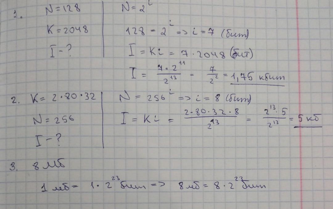
Ответ:
k-символы
n- алфавит
I - объем файла
i - объем символа
Во второй задаче сразу подставила и сократила до кб, так как в 1 бите 2 в 13 степени кб
Приложения:
Похожие вопросы
Предмет: Русский язык,
автор: tsodorov555
Предмет: Английский язык,
автор: 89020692489
Предмет: Қазақ тiлi,
автор: krg1910
Предмет: Химия,
автор: Bdenis414
Предмет: Английский язык,
автор: Аноним