Предмет: Алгебра, автор: yukiratliff

Помогите пожалуйста ​

Приложения:

Ответы

Автор ответа: tyrin
1

Ответ:

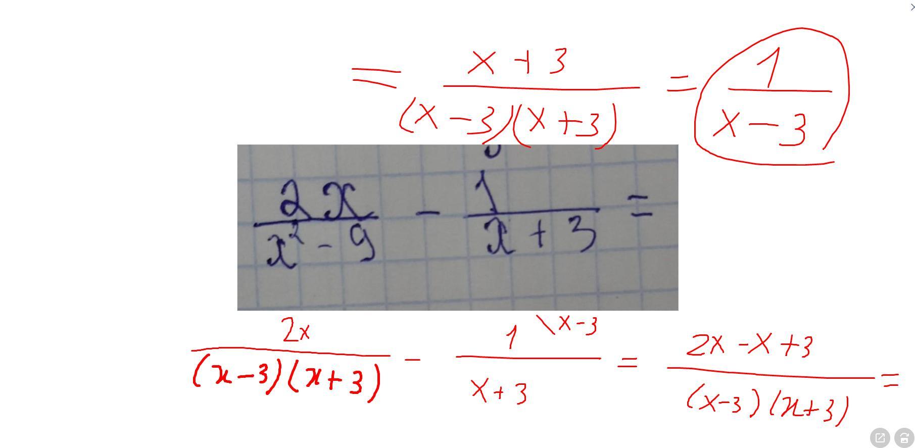
на фото

Объяснение:

на фото

Приложения:

yukiratliff: спасибо
Автор ответа: Аноним
1

Объяснение:

 \frac{2x}{x {}^{2} - 9 }  -  \frac{1}{x + 3}  =  \frac{2x}{(x - 3) \times (x + 3)}  -  \frac{1}{x + 3}  =  \frac{2x - (x - 3)}{(x - 3) \times (x + 3)}  =  \frac{2x - x + 3}{(x - 3) \times (x + 3)}  =  \frac{x + 3}{(x -  3) \times (x + 3)}  =  \frac{1}{x - 3}


yukiratliff: спасибо <33
Похожие вопросы