Предмет: Алгебра, автор: Ilyakaysarow

Решите пж пж пж
Прекрипил там сообщение
..........

Приложения:

Ответы

Автор ответа: 165ABr
0

Ответ:

Объяснение:

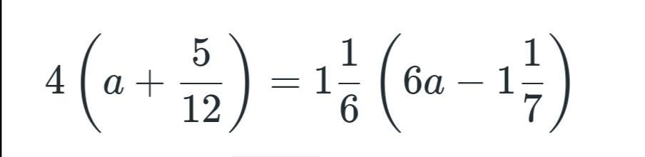
4a+\frac{5}{3} =\frac{7}{6} (6a-\frac{8}{7} )\\4a+\frac{5}{3} =7a-\frac{4}{3} \\4a-7a=-\frac{4}{3} -\frac{5}{3} \\-3a=-3\\a=1

Похожие вопросы
Предмет: Русский язык, автор: sss7772
Предмет: Окружающий мир, автор: mashanamikaze
Предмет: Физика, автор: Екатерина270604