Предмет: Алгебра,
автор: nesterenkonikita0065
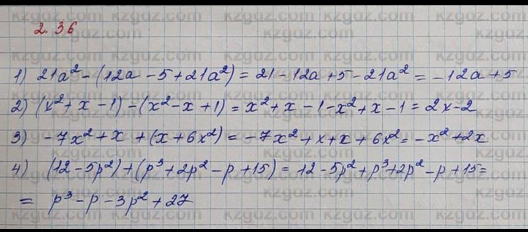
2.36. Преобразуйте в многочлен стандартного вида 1) 21a ^ 3 - (12a - 5 + 21a ^ 3) 3) -7x^ 2 +x+(x+6x^ 2 ); 2) (x^ 2 +x-1)-(x^ 2 -x+1); 4) (12-5p^ 2 )+(p^ 2 +2p^ 3 -p+15
Ответы
Автор ответа:
8
Ответ:
вот надеюсь чуть не опоздала )..
Приложения:
zadaisa620:
ставлю пять
Похожие вопросы
Предмет: Русский язык,
автор: Аноним
Предмет: Математика,
автор: Кариsha
Предмет: Английский язык,
автор: Ильназ1234
Предмет: Математика,
автор: OlyaKazakova
Предмет: Русский язык,
автор: zadavakaka