Предмет: Алгебра,
автор: puslikclub
Даю 100 баллов
Помогите решить производные
Приложения:
Ответы
Автор ответа:
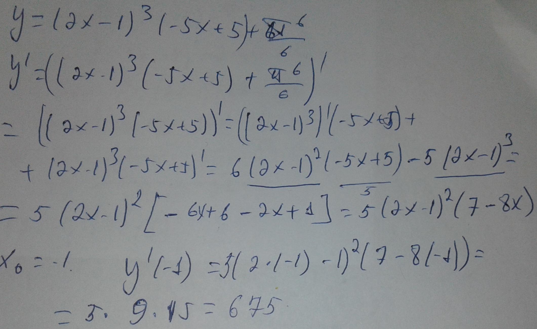
1
Ответ:
Решено
Объяснение:
Приложения:
Похожие вопросы
Предмет: Русский язык,
автор: matvey2709
Предмет: Английский язык,
автор: hojyk
Предмет: Английский язык,
автор: swappper
Предмет: Литература,
автор: Semka077